Tweetovi
- Tweetovi, trenutna stranica.
- Tweetovi i odgovori
- Medijski sadržaj
Blokirali ste korisnika/cu @Masturah_A
Jeste li sigurni da želite vidjeti te tweetove? Time nećete deblokirati korisnika/cu @Masturah_A
-
Prikvačeni tweet
Dear Future Husband, let my Mahr be Suratul Ar-Rahman!
https://twitter.com/ms_loliitaa/status/828742927266488320 …
Hvala. Twitter će to iskoristiti za poboljšanje vaše vremenske crte. PoništiPoništi -
Masturah Aminu Baba proslijedio/la je Tweet
Tabbas. Naka naka ne. Kuma no lie for this product. The wife still makes this combo. It is still amazing. It is actually more amazing now. You are 08187348268 away from this awesomeness. It is N2,300. Instagram: saysher9 I can also take your orders.pic.twitter.com/Z7pTFz6Y1i
Hvala. Twitter će to iskoristiti za poboljšanje vaše vremenske crte. PoništiPoništi -
Masturah Aminu Baba proslijedio/la je TweetHvala. Twitter će to iskoristiti za poboljšanje vaše vremenske crte. PoništiPoništi
-
Masturah Aminu Baba proslijedio/la je TweetHvala. Twitter će to iskoristiti za poboljšanje vaše vremenske crte. PoništiPoništi
-
Masturah Aminu Baba proslijedio/la je Tweet
Godia ta tabbata ga Ubangijin da ya halicci kaza,Ya bawa mutane basirar sarrafa kaza,Ya halicci barkono domin sarrafa yajin da zaa barbadawa kaza, Ya halicci sinadari iri iri domin hada maggin da zaa kunzumawa kaza, Ya halicci wutar gasa kaza,harshe domin jin dandanon cinyar kazahttps://twitter.com/acheatingvegan/status/1223665033063825410 …
Hvala. Twitter će to iskoristiti za poboljšanje vaše vremenske crte. PoništiPoništi -
Masturah Aminu Baba proslijedio/la je Tweet
How do you normally dress to work? Or a corporate function? Our aim is to cater to your apparel needs, while maintaining modesty & elegance. This corporate set it the 1st look from our ”undaunted series”. Don't want pants, you can have yours with a skirt, & in any color.pic.twitter.com/7eeWE1ceQS
Prikaži ovu nitHvala. Twitter će to iskoristiti za poboljšanje vaše vremenske crte. PoništiPoništi -
Masturah Aminu Baba proslijedio/la je TweetHvala. Twitter će to iskoristiti za poboljšanje vaše vremenske crte. PoništiPoništi
-
Masturah Aminu Baba proslijedio/la je Tweet
You don’t need to go to immigration office again to get your passport, just go to this man’s church


Religion is the biggest scam I knowpic.twitter.com/cACCnNq9e9Prikaži ovu nitHvala. Twitter će to iskoristiti za poboljšanje vaše vremenske crte. PoništiPoništi -
Masturah Aminu Baba proslijedio/la je Tweet
Dear Parents, When you send your children to memorize the Quran, let them also know what they are saying. I was 16 when I started asking myself what do these words mean and gifted myself a Quran in English. Best decision ever. The Quran is better when it’s understood.
Hvala. Twitter će to iskoristiti za poboljšanje vaše vremenske crte. PoništiPoništi -
Masturah Aminu Baba proslijedio/la je Tweet
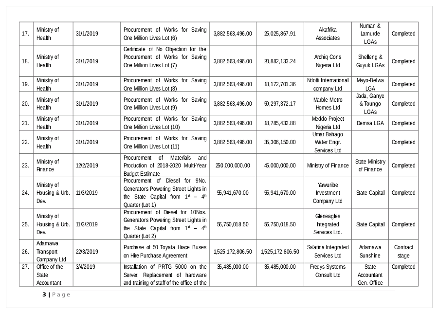
Hello Adamawa state Citizens. Attached documents are projects awarded by
@Adamawa_Gov in 2019. The details in this documents includes the details of the contract location, amount released, the name of the contractor and the rest. Check for your LG and give us a feedback.pic.twitter.com/9GMIEHbXu7
Prikaži ovu nitHvala. Twitter će to iskoristiti za poboljšanje vaše vremenske crte. PoništiPoništi -
Masturah Aminu Baba proslijedio/la je Tweet
Being alive
Don’t put us under pressure
https://twitter.com/OgbeniDipo/status/1223996373449703427 …Hvala. Twitter će to iskoristiti za poboljšanje vaše vremenske crte. PoništiPoništi -
Masturah Aminu Baba proslijedio/la je Tweet
Me staring at my man and realizing how lucky I am to have him as mine
https://twitter.com/D3333N02/status/1220292382958276609 …
Hvala. Twitter će to iskoristiti za poboljšanje vaše vremenske crte. PoništiPoništi -
Masturah Aminu Baba proslijedio/la je Tweet
Twitter should be suspending spam accounts like Binomo Investment. I won’t lie, it hurts. Starting all over is scary, I put time, energy & resources into building
@RukayyaNG its unfair that it was permanently suspended without prior notice, new handle is@NGRukayya. Thank you
Hvala. Twitter će to iskoristiti za poboljšanje vaše vremenske crte. PoništiPoništi -
Masturah Aminu Baba proslijedio/la je Tweet
“I found my wife weeping alone after prayer and when I went to comfort her and ask her what was wrong, she did not answer but grasped my head to her heart tightly and blew the last verses of the ayaat she had just finished over my face.
Prikaži ovu nitHvala. Twitter će to iskoristiti za poboljšanje vaše vremenske crte. PoništiPoništi -
Masturah Aminu Baba proslijedio/la je TweetHvala. Twitter će to iskoristiti za poboljšanje vaše vremenske crte. PoništiPoništi
-
Masturah Aminu Baba proslijedio/la je Tweet
My former account .@Rukayya_NG is permanently suspended, this will be my account from now onwards. For those that have pending orders, please reach out via dm or WhatsApp 08096227737. Looking forward to doing more business with you, Thank you
Hvala. Twitter će to iskoristiti za poboljšanje vaše vremenske crte. PoništiPoništi -
Masturah Aminu Baba proslijedio/la je Tweet
Yes! We are the future of Africa!!One month to go... have you applied? Cc:
@TonyElumeluFDN@HAUWALIMAN682@Aysha_Tofa@Masturah_A@Hajarahhh@Beebee__Em@senatorbash@MahmoodSalisu@A1AAdams#TEFWoman#TEF2020#Africanentrepreneur#FemaleEntrepreneur#africanwomen#entrepreneurpic.twitter.com/sUW8Z5r5FvHvala. Twitter će to iskoristiti za poboljšanje vaše vremenske crte. PoništiPoništi -
Masturah Aminu Baba proslijedio/la je Tweet
Toilet doors should have these, I cannot finish washing my hands and use it to touch the door handle that has been touched by someone who probably didn't wash their hands after using the toilet Or is it just me?pic.twitter.com/lGGZEerVCh
Hvala. Twitter će to iskoristiti za poboljšanje vaše vremenske crte. PoništiPoništi -
Masturah Aminu Baba proslijedio/la je Tweet
This is the proper way to slice a pomegranatepic.twitter.com/62i7wBw82o
Hvala. Twitter će to iskoristiti za poboljšanje vaše vremenske crte. PoništiPoništi -
Masturah Aminu Baba proslijedio/la je Tweet


!!!
The future is One Africa! @burnaboygrampic.twitter.com/8mzMuCPERU
Hvala. Twitter će to iskoristiti za poboljšanje vaše vremenske crte. PoništiPoništi -
Masturah Aminu Baba proslijedio/la je Tweet
yeah, keep that “not available in your region” energy.https://twitter.com/spectatorindex/status/1222389029812850688 …
Hvala. Twitter će to iskoristiti za poboljšanje vaše vremenske crte. PoništiPoništi
Čini se da učitavanje traje već neko vrijeme.
Twitter je možda preopterećen ili ima kratkotrajnih poteškoća u radu. Pokušajte ponovno ili potražite dodatne informacije u odjeljku Status Twittera.

