Tweetovi
- Tweetovi, trenutna stranica.
- Tweetovi i odgovori
- Medijski sadržaj
Blokirali ste korisnika/cu @Leah_Romm
Jeste li sigurni da želite vidjeti te tweetove? Time nećete deblokirati korisnika/cu @Leah_Romm
-
Prikvačeni tweet
I'm excited to share something I wrote for
@NYUMootCourt's journal, Proceedings, about the constitutionality (or lack thereof) of imprisoning defendants who are unable to pay fines and/or fees associated with their cases: https://proceedings.nyumootcourt.org/2018/10/criminalizing-poverty-designing-constitutionally-sound-inquiries-into-defendants-ability-to-pay-their-fees-and-fines …pic.twitter.com/4zELB2vXMF
Prikaži ovu nitHvala. Twitter će to iskoristiti za poboljšanje vaše vremenske crte. PoništiPoništi -
Leah Romm proslijedio/la je Tweet
therapist: so I think we are doing some very good work here me: *beams* therapist: not that I am grading you, this is not something you grade me: I clearly heard you say that I am getting an A
Prikaži ovu nitHvala. Twitter će to iskoristiti za poboljšanje vaše vremenske crte. PoništiPoništi -
Leah Romm proslijedio/la je Tweet
i am not concerned with the sports. i am however. very concerned with the snacks associated
Hvala. Twitter će to iskoristiti za poboljšanje vaše vremenske crte. PoništiPoništi -
Leah Romm proslijedio/la je Tweet
It’s official: Wealth inequality in the Bay Area is wider than anywhere else in the state. Bay Area residents in the 90th percentile of incomes earned $384,000 a year, compared to just $32,000 for those in the bottom 10th percentile.https://www.kqed.org/news/11799308/bay-area-has-highest-income-inequality-in-california …
Hvala. Twitter će to iskoristiti za poboljšanje vaše vremenske crte. PoništiPoništi -
Leah Romm proslijedio/la je Tweet
Extremely disappointed in
@UCBerkeley for this post trying to normalize racism and xenophobia. Do better, Cal.https://twitter.com/adrienneshih/status/1222986183778689024 …
Hvala. Twitter će to iskoristiti za poboljšanje vaše vremenske crte. PoništiPoništi -
Leah Romm proslijedio/la je Tweet
my neck my back tbh, i've been under a lot of stress lately
Hvala. Twitter će to iskoristiti za poboljšanje vaše vremenske crte. PoništiPoništi -
Leah Romm proslijedio/la je Tweet
Some good news:
@BerkeleyLaw's Boalt Hall has become simply "The Law Building," in recognition of how its namesake argued influentially, in the context of Chinese immigration, for "extermination," not "reconciliation," of different races@viet_t_nguyenhttps://news.berkeley.edu/2020/01/30/boalt-hall-denamed/ …Hvala. Twitter će to iskoristiti za poboljšanje vaše vremenske crte. PoništiPoništi -
I can literally hear my dad saying “רגע רגע” right now oh my godhttps://twitter.com/Emojipedia/status/1222635333491286019 …
Hvala. Twitter će to iskoristiti za poboljšanje vaše vremenske crte. PoništiPoništi -
Leah Romm proslijedio/la je Tweet
Trump's "peace plan" is a rubber stamp for annexation and offers no chance for a real Palestinian state. Releasing a plan without negotiating with Palestinians isn't diplomacy, it's a sham. I will oppose unilateral annexation in any form—and reverse any policy that supports it.
Hvala. Twitter će to iskoristiti za poboljšanje vaše vremenske crte. PoništiPoništi -
Leah Romm proslijedio/la je Tweet
The cruel, unadorned, straightforward misogyny of this administration, its explicit glee in humiliating women (reporters, ambassadors, you name it), makes me feel numb.
Prikaži ovu nitHvala. Twitter će to iskoristiti za poboljšanje vaše vremenske crte. PoništiPoništi -
me leaving my parents’ house with leftovers at the end of the weekendhttps://twitter.com/nn930310/status/1221046099957256192 …
0:44Hvala. Twitter će to iskoristiti za poboljšanje vaše vremenske crte. PoništiPoništi -
Leah Romm proslijedio/la je Tweet
I’ve been watching a lot of Bon Appetit test kitchen vids lately and... noticed something. this week’s newsletter:https://www.sfchronicle.com/restaurants/article/The-Bon-Appetit-test-kitchen-s-race-problem-15002875.php …
Hvala. Twitter će to iskoristiti za poboljšanje vaše vremenske crte. PoništiPoništi -
Really appreciating these words from
@Erika_D_Smith via@latimes - https://www.latimes.com/california/story/2020-01-27/kobe-bryant-nipsey-hussle-death-grammy-tribute …pic.twitter.com/BN5LUOiLYQ
Hvala. Twitter će to iskoristiti za poboljšanje vaše vremenske crte. PoništiPoništi -
Leah Romm proslijedio/la je Tweet
My iPhone relentlessly clinging on to unattainable, inaccesible WiFi networks. It’s like girl, you don’t need them! You can do your thing without them just fine.
Hvala. Twitter će to iskoristiti za poboljšanje vaše vremenske crte. PoništiPoništi -
Leah Romm proslijedio/la je Tweet
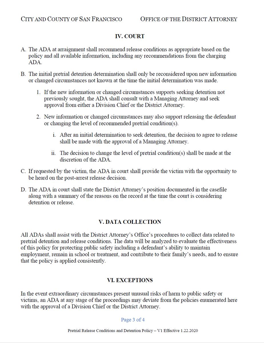
To be clear, the policy we rolled out today focused on ending money bail not on promoting algorithms. You can read the policy here:pic.twitter.com/J0D2WEbyEI
Hvala. Twitter će to iskoristiti za poboljšanje vaše vremenske crte. PoništiPoništi -
Leah Romm proslijedio/la je Tweet
Today we announced a formal policy ending the use of money bail by our prosecutors as a condition for pretrial detention. From this point forward, pretrial detention will be based on public safety, not on wealth.pic.twitter.com/V8WM5pI9Nn
Hvala. Twitter će to iskoristiti za poboljšanje vaše vremenske crte. PoništiPoništi -
Leah Romm proslijedio/la je Tweet
On the anniversary of
#RoeVWade, a friendly reminder that ppl have been getting abortions as long as ppl have been getting pregnant. Our grandmothers, our moms — abortion has allowed us to form our families. Abortion is freedom. My latest for@TeenVogue:https://www.teenvogue.com/story/abortion-story-parents …Prikaži ovu nitHvala. Twitter će to iskoristiti za poboljšanje vaše vremenske crte. PoništiPoništi -
Hvala. Twitter će to iskoristiti za poboljšanje vaše vremenske crte. PoništiPoništi
-
further proof that
@zachary_kramer is the future version of@vicariousluigihttps://twitter.com/zachary_kramer/status/1219991996888018951 …Hvala. Twitter će to iskoristiti za poboljšanje vaše vremenske crte. PoništiPoništi -
Leah Romm proslijedio/la je Tweet
.
@RepJeffries showing of his@nyulaw legal training by distilling what's at stake in this proceeding in less than two minutes and then adding the "and if you don't know, now you now" mic drop at the end.
https://twitter.com/andylassner/status/1219831495197515776 …
1:40Hvala. Twitter će to iskoristiti za poboljšanje vaše vremenske crte. PoništiPoništi -
I have convinced my 7 year old niece that the Super Bowl is this game where football players are asked to pick either a soup or a bowl but they can’t have both. This should be good.
Hvala. Twitter će to iskoristiti za poboljšanje vaše vremenske crte. PoništiPoništi
Čini se da učitavanje traje već neko vrijeme.
Twitter je možda preopterećen ili ima kratkotrajnih poteškoća u radu. Pokušajte ponovno ili potražite dodatne informacije u odjeljku Status Twittera.
