It’s sad ... but I wonder who is paying this Benedict Arnold... and Lanny Davis... the minute he was hired it was assured that there would be composing going on... Nothing connected to him can be trusted... no honor, integrity. What a legacy to leave his family...
-
-
-
Michael Cohen is a lawyer, he knows the law. He got up and plead guilty. He could have been defiant and set the stage for a pardon. He didn't, that says something right?
- 3 more replies
New conversation -
-
-
It is funny give any story 24-28 hrs and the script flips - POTUS keeps exposing these idiots for what they are.. It seems like their skeletons keep getting exposed and we learn the ugly truth about them.. I am sure there is more on Lanny Davis - Good work Jack...
- 1 more reply
New conversation -
-
-
when they work for the DNC its ok but when they work for the GOP its a fucking crime go figure





- 1 more reply
New conversation -
-
-
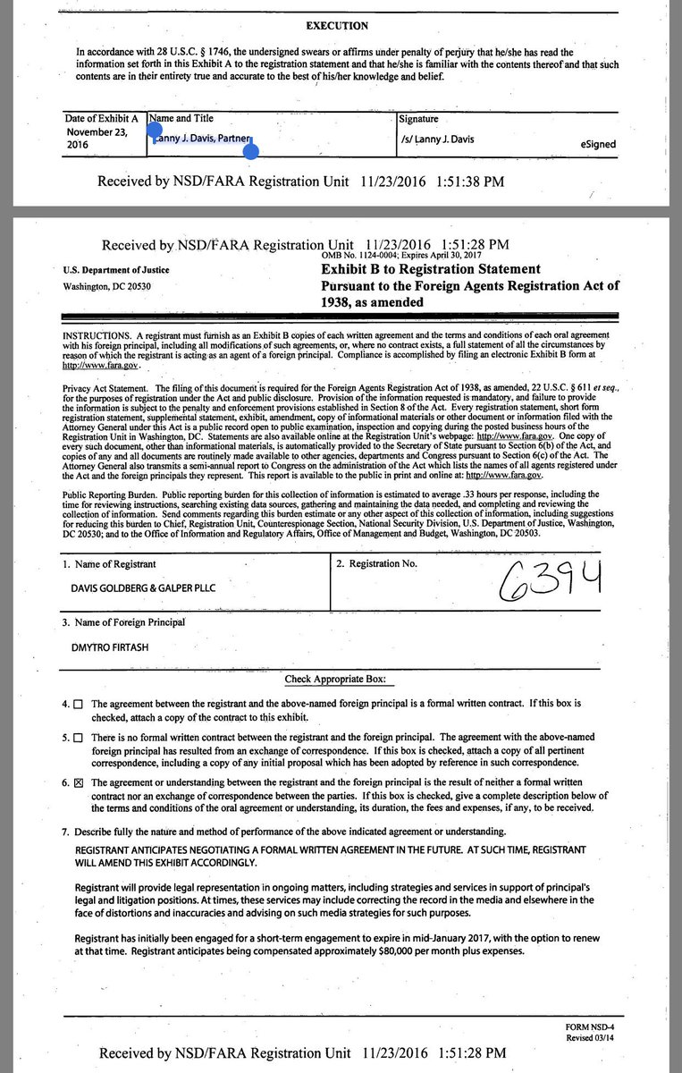
Again fooling fools, https://www.usatoday.com/story/news/2017/07/26/feds-call-ex-manafort-associate-dmytro-firtash-top-tier-player-russian-organized-crime/514131001/ … Firtash is wanted in connection with manafort. Lany davis is representing him in the court.
Thanks. Twitter will use this to make your timeline better. UndoUndo
-
-
-
Russia and Putin ties are with Clintons and Democrats, not President Trump. Time for DOJ to follow 25+ firings, demotions, and resignations at DOJ and FBI to find real Russia collusion...
#deepstate#clintonserversThanks. Twitter will use this to make your timeline better. UndoUndo
-
-
-
Did you know Trump is an unregistered foreign agent for Putin, and is about to be exposed, and also wanted for treason by the US government?
Thanks. Twitter will use this to make your timeline better. UndoUndo
-
-
-
And Oligarch who also has direct ties to Bill Clinton according to the
@chicagotribune story on Firtash avoiding extradition in Chicago due to Lanny Davis, Bill Clinton and others...pic.twitter.com/J5Xe6AHAtq
Thanks. Twitter will use this to make your timeline better. UndoUndo
-
Loading seems to be taking a while.
Twitter may be over capacity or experiencing a momentary hiccup. Try again or visit Twitter Status for more information.