Throwing an object at the same speed but different angles defines an Ellipsoid via its maximum heightpic.twitter.com/gd3fqHLDT3
-
-
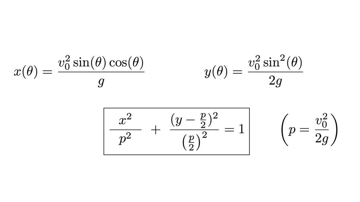
Proof (2D): • Use the kinematic equations to solve for the point of maximum height (𝑥(θ), 𝑦(θ)) as a function of launch angle θ • Rearranging, you can see that these (x,y) define an ellipse with semi-major axis 𝑝 and semi-minor axis 𝑝/2pic.twitter.com/O8KNCeS2q5
Show this threadThanks. Twitter will use this to make your timeline better. UndoUndo
-
-
-
Is it still an ellipse after resistance? After seeing your first tweet I tried “unsimplifying” in a different way - do the problem for standing on a sphere. what curve is formed by the apogees of ellipse “orbits” when you throw a rock at different angles? Didn’t manage tho

-
I’m not entirely sure what you’re asking
- 2 more replies
New conversation -
-
-
Heck yeah
Thanks. Twitter will use this to make your timeline better. UndoUndo
-
-
This Tweet is unavailable.
Loading seems to be taking a while.
Twitter may be over capacity or experiencing a momentary hiccup. Try again or visit Twitter Status for more information.