Correct
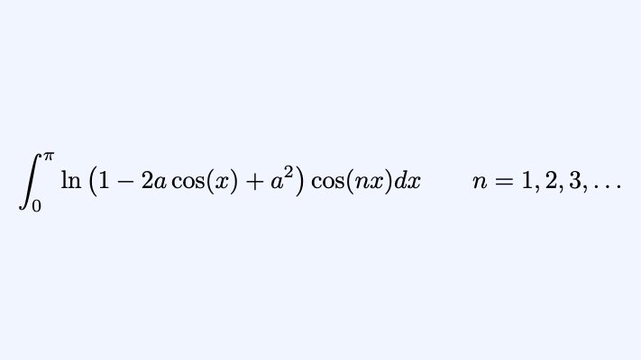
1/2*5π/4=5π/8 https://twitter.com/InertialObservr/status/1167939061501136896 …pic.twitter.com/ovGzGfHhM6
You can add location information to your Tweets, such as your city or precise location, from the web and via third-party applications. You always have the option to delete your Tweet location history. Learn more
Hint/guess: Leibnitz rule I(x,a) and take a partial derivative w.r.t. "a" integrate and solve for I(x,a), where I(x,a) is the expression you are refererring to.
Twitter may be over capacity or experiencing a momentary hiccup. Try again or visit Twitter Status for more information.