i call this one "Senior's Dream"pic.twitter.com/4SScnwEhKd
You can add location information to your Tweets, such as your city or precise location, from the web and via third-party applications. You always have the option to delete your Tweet location history. Learn more
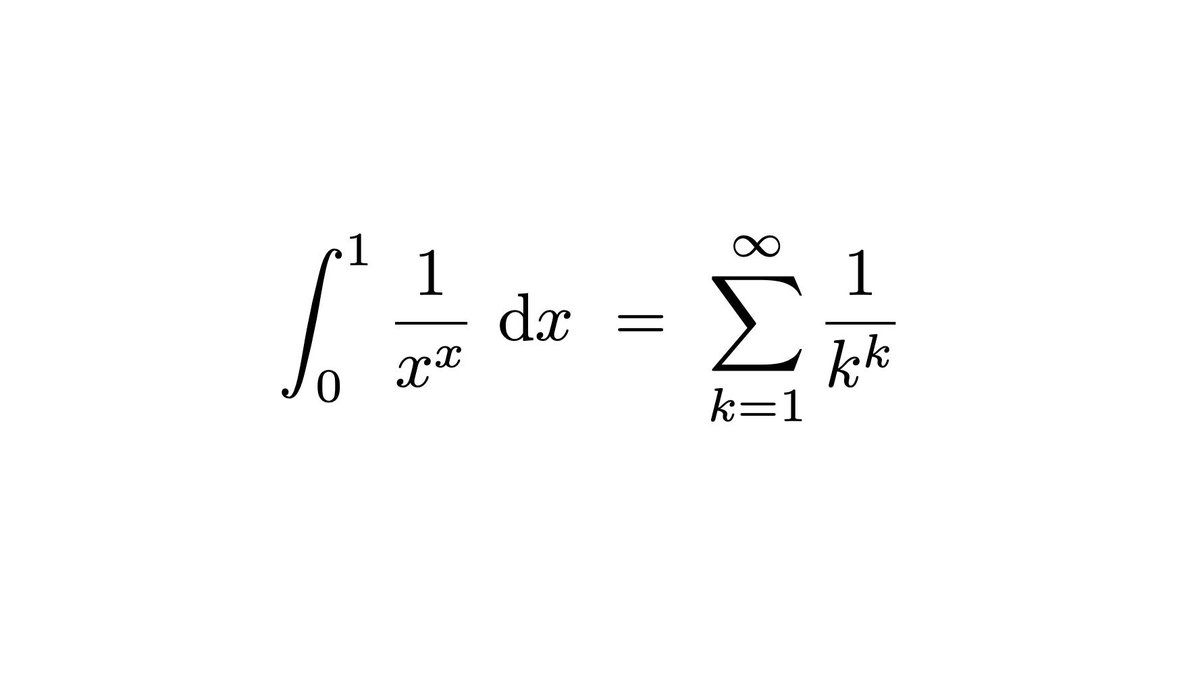
What do seniors dream of?
mitigated anxiety
Pretty tame proof too! I proved it to be calc 2 students a year ago...has all the calc 2 fixings: factorials, infinite sums, improper integrals, Taylor series...
Alright. I guess, it makes sense. What a nice hill.pic.twitter.com/mWqQJhogHA
Neither of these are dreams. 
Check this post out if you haven’t already!https://math.stackexchange.com/questions/505367/surprising-identities-equations/507802?r=SearchResults#507802 …
Twitter may be over capacity or experiencing a momentary hiccup. Try again or visit Twitter Status for more information.