If someone asks you for your favorite number and you can't make up your mind, tell 'em 2.254596.... because it's the geometric mean of π and Φ. (I use φ for the "little" golden ratio 0.6180339....)
-
-
-
hmm.. if I were honest i'd probably have to decide between e as well.. hence my favorite number is ∛πeΦ
- 5 more replies
New conversation -
-
-
2 cos(π/5) = φ so it's not super surprising.
-
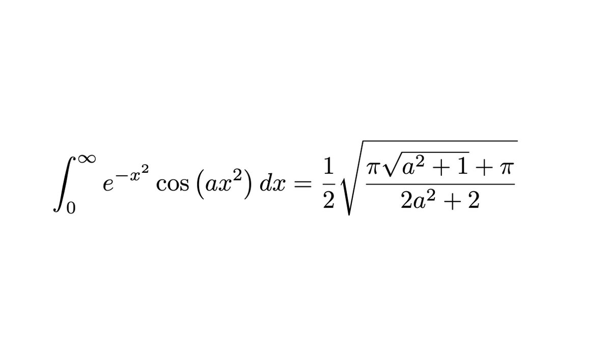
you would think that fact about cosine would have something to do with it, but it actually doesn'tpic.twitter.com/jnfOElVDnF
- 1 more reply
New conversation -
-
-
Prove the e^iπ equality in your next tweet with the Taylor series, or else
-
i don't find that proof very satisfying
- 3 more replies
New conversation -
-
-
I wonder if it also generalizes for other metallic means, i.e. solutions of x² - nx - 1 = 0, without much trig. gymnastics...
-
just use complex exponents
- 2 more replies
New conversation -
-
-
Nice. I think we can get a similar formula with the square exponent "2" replaced by any positive integer n, which would involve the Gamma function (but I don't know if phi will be involved, but maybe something else).
Thanks. Twitter will use this to make your timeline better. UndoUndo
-
-
-
I don’t know what this is, but it looks pretty

Thanks. Twitter will use this to make your timeline better. UndoUndo
-
Loading seems to be taking a while.
Twitter may be over capacity or experiencing a momentary hiccup. Try again or visit Twitter Status for more information.