A straight line may be the shortest 𝑑𝑖𝑠𝑡𝑎𝑛𝑐𝑒 between two points, but a "Brachistochrone" curve is the path of least timepic.twitter.com/aWPoz9X6i9
-
Show this thread
-
This Tweet is unavailable.
-
All the lines have one component parallel to the movement and other normal. The relativistic effect only affects to the parallel component so the line will be shorter just in that component. See the before and after graphicpic.twitter.com/qJqyzrymA2
1 reply 0 retweets 0 likes -
Replying to @sergiosanz001 @InertialObservr
The same would happen to any curve, but maybe the interesting thing is that an ellipse would seems to be a circle



pic.twitter.com/LMLfPpViGe
1 reply 1 retweet 1 like -
Replying to @sergiosanz001 @InertialObservr
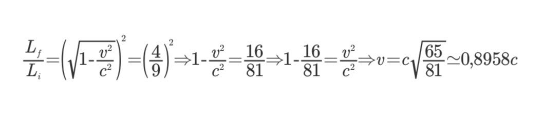
Which means that you should have a speed of 0.8958 times the speed of the light to see the showed ellipse as a circle.pic.twitter.com/H1qcuOAYQe
1 reply 1 retweet 1 like -
Replying to @sergiosanz001
i think you'd need to integrate the length contraction along the path since the velocity is changing due to acceleration
1 reply 0 retweets 0 likes -
Replying to @InertialObservr
I was just considering a constant speed for illustration.
1 reply 0 retweets 0 likes
but then it wouldn't be a tautochrone or a bachristochrone
-
-
Replying to @InertialObservr
That curves are just curves. You don’t have to consider any acceleration. He told about the lines, which are independent of the speed of an object moving outside of them.
0 replies 0 retweets 0 likesThanks. Twitter will use this to make your timeline better. UndoUndo
-
Loading seems to be taking a while.
Twitter may be over capacity or experiencing a momentary hiccup. Try again or visit Twitter Status for more information.