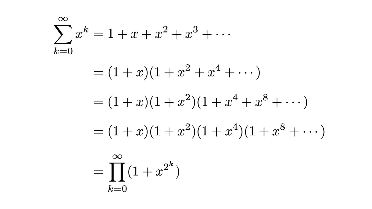
A geometric series can also be expressed as an infinite productpic.twitter.com/ApilL2iiIv
You can add location information to your Tweets, such as your city or precise location, from the web and via third-party applications. You always have the option to delete your Tweet location history. Learn more
HAHAHAHAHAAHAHAH te pasaste Dillon.
Beautiful 
Twitter may be over capacity or experiencing a momentary hiccup. Try again or visit Twitter Status for more information.