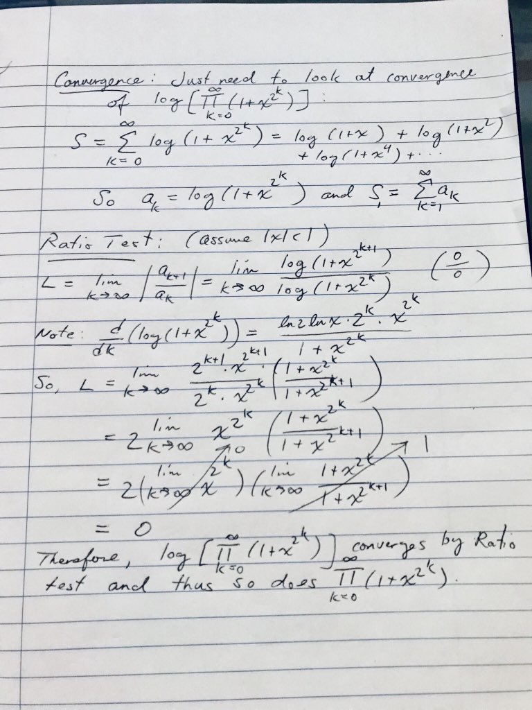
Informal proof of product expansion of geometric series
Notes
:
(1) Convergence for both is when |x| < 1
(2) I did not prove this because it's Twitter and I'm about to head to the beach
pic.twitter.com/rUrJ8kMPXG
You can add location information to your Tweets, such as your city or precise location, from the web and via third-party applications. You always have the option to delete your Tweet location history. Learn more
Informal proof of product expansion of geometric series
Notes
:
(1) Convergence for both is when |x| < 1
(2) I did not prove this because it's Twitter and I'm about to head to the beach
pic.twitter.com/rUrJ8kMPXG
Sees blackboard with geometric series... exasperated: why hasn’t anyone factored this?! ... walks away
A good proof here (ignoring issues of convergence) is exactly that every positive integer can be expressed uniquely as a finite binary string.
So for every base b we may take prod_k sum_i x^{i b^k}
What
Sum(0+x^k)=Mul(1+x^2^k)
I can't understand this
Twitter may be over capacity or experiencing a momentary hiccup. Try again or visit Twitter Status for more information.