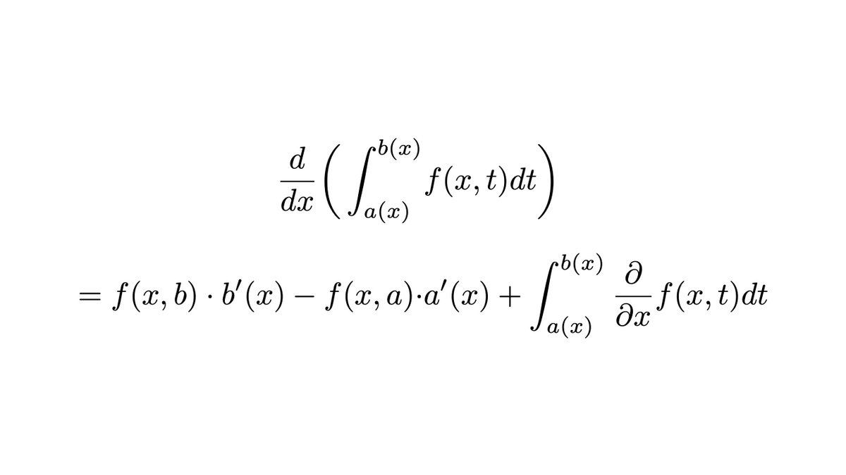
Leibniz Rule for differentiation under the integralpic.twitter.com/nmgomqD2O7
You can add location information to your Tweets, such as your city or precise location, from the web and via third-party applications. You always have the option to delete your Tweet location history. Learn more
No promises 
Twitter may be over capacity or experiencing a momentary hiccup. Try again or visit Twitter Status for more information.