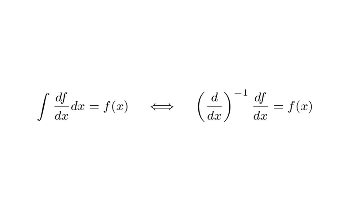
Everyone agrees that Leibniz' derivative notation is superior, but what about for antiderivatives?pic.twitter.com/I9ZSGKLMqN
PhD student of Theoretical Particle Physics @UCIrvine l @NSF Fellow l Physics & Math Animations l Patreon: https://www.patreon.com/inertialobserver …
You can add location information to your Tweets, such as your city or precise location, from the web and via third-party applications. You always have the option to delete your Tweet location history. Learn more
Add this Tweet to your website by copying the code below. Learn more
Add this video to your website by copying the code below. Learn more
By embedding Twitter content in your website or app, you are agreeing to the Twitter Developer Agreement and Developer Policy.
| Country | Code | For customers of |
|---|---|---|
| United States | 40404 | (any) |
| Canada | 21212 | (any) |
| United Kingdom | 86444 | Vodafone, Orange, 3, O2 |
| Brazil | 40404 | Nextel, TIM |
| Haiti | 40404 | Digicel, Voila |
| Ireland | 51210 | Vodafone, O2 |
| India | 53000 | Bharti Airtel, Videocon, Reliance |
| Indonesia | 89887 | AXIS, 3, Telkomsel, Indosat, XL Axiata |
| Italy | 4880804 | Wind |
| 3424486444 | Vodafone | |
| » See SMS short codes for other countries | ||
This timeline is where you’ll spend most of your time, getting instant updates about what matters to you.
Hover over the profile pic and click the Following button to unfollow any account.
When you see a Tweet you love, tap the heart — it lets the person who wrote it know you shared the love.
The fastest way to share someone else’s Tweet with your followers is with a Retweet. Tap the icon to send it instantly.
Add your thoughts about any Tweet with a Reply. Find a topic you’re passionate about, and jump right in.
Get instant insight into what people are talking about now.
Follow more accounts to get instant updates about topics you care about.
See the latest conversations about any topic instantly.
Catch up instantly on the best stories happening as they unfold.
Everyone agrees that Leibniz' derivative notation is superior, but what about for antiderivatives?pic.twitter.com/I9ZSGKLMqN
That is actually fairly common notation in fractional calculus, where we in fact can work with (d/dx)^alpha where alpha can be many things that aren't necessarily integer. 
Do you recommend any textbooks on fractional calculus?
I learned from Briggs and Cochran and I loved it
Just the "Calculus" textbook or is there a different one?
oh wow.. I just read that you asked about "fractional" calculus hahahah I thought it seemed odd..
For calculus...for me was James Stewart...legend
stewart is pretty dang good too
Twitter may be over capacity or experiencing a momentary hiccup. Try again or visit Twitter Status for more information.