Medijski sadržaj

  1. Odgovor korisniku/ci

    ALRIGHT no shame

  2. 2. velj
  3. 1. velj
    Odgovor korisniku/ci
  4. 31. sij
    Odgovor korisniku/ci

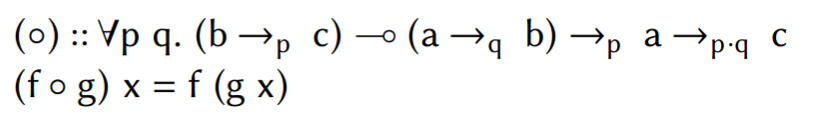
    I want the emergent class hierarchy to look nice. I don't see the Category class being a useful abstraction, with the second -{p}> arrow id can't be linear polymorphic! Knowing nothing about LTs, I want to know what hierarchies other approaches, linearity in kinds etc. produce

  5. 31. sij
    Odgovor korisniku/ci

    That's right, those are in fact not type classes ("faux class" rhyming with faux pas) Eisenberg calls them pseudo-classes

  6. 31. sij
  7. 31. sij
  8. 30. sij
    Odgovor korisnicima
  9. 30. sij
    Odgovor korisniku/ci

    >> :instances WriterT (Data.Monoid.Product Q') (StateT Int []) ..

  10. 30. sij
    Odgovor korisnicima

    Right.. so infixl 0 <- would prevent mixing <- and ->

  11. 30. sij
  12. 29. sij

    Deats dy Br. Bre

  13. 29. sij

    Kolniðamyrkur = coal waning darkness

    Prikaži ovu nit
  14. 29. sij
    Prikaži ovu nit
  15. 29. sij
    Prikaži ovu nit
  16. 29. sij

    These are the kinds (get it?) of types I expected :)

    Prikaži ovu nit
  17. 29. sij
    Odgovor korisniku/ci
  18. 29. sij
    Odgovor korisnicima

    hm type Optional :: Type -> Type data Optional a = None () | Some a deriving (Functor, Foldable, Apply, Applicative, Alt, Bind, Extend, Monad, MonadFix, ..) via Either ()

  19. 29. sij

    Help what am I doing, I'm in Niigata

Čini se da učitavanje traje već neko vrijeme.

Twitter je možda preopterećen ili ima kratkotrajnih poteškoća u radu. Pokušajte ponovno ili potražite dodatne informacije u odjeljku Status Twittera.

    Možda bi vam se svidjelo i ovo:

    ·