Cc: @ADAlthousePhD @f2harrell @statsepi do you agree with the statement that the point estimate in a wide confidence interval is the most likely value to be true (compared with other values within the CI)?https://twitter.com/CMichaelGibson/status/1141424951125258241 …
-
-
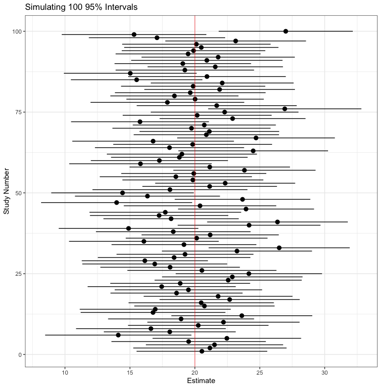
Here’s a quick sim showing it… assuming a true difference of 20, and simulating 100 intervals of different levels (1% and 95%), the 95% intervals will contain the true difference of 20, about 95% of the time . 1/3pic.twitter.com/CtoECns7ZI
-
If we simulate 100 1% intervals (why 1%?, because it’s as close to the point estimate as possible and shortens the length of the intervals), these estimates will only contain the true value 1% of the time 2/3pic.twitter.com/LdP8Q4rs0U
- Show replies
New conversation -
Loading seems to be taking a while.
Twitter may be over capacity or experiencing a momentary hiccup. Try again or visit Twitter Status for more information.
