Tweetovi
- Tweetovi, trenutna stranica.
- Tweetovi i odgovori
- Medijski sadržaj
Blokirali ste korisnika/cu @GWOMaths
Jeste li sigurni da želite vidjeti te tweetove? Time nećete deblokirati korisnika/cu @GWOMaths
-
Prikvačeni tweet
Posting
#dailymaths each morning at ~6am Eastern with problem of the day from the Mathematics 2020 calendar and previous day’s solution. Difficulty varies from pre-algebra to post-calculus work, so there’s something fun and challenging for everyone.
Join us!Hvala. Twitter će to iskoristiti za poboljšanje vaše vremenske crte. PoništiPoništi -
Great Women of Mathematics proslijedio/la je Tweet
First black woman to earn a PhD in mathematics!
#BlackHistoryMonth
https://twitter.com/gwomaths/status/1194224063004233735 …
Hvala. Twitter će to iskoristiti za poboljšanje vaše vremenske crte. PoništiPoništi -
Great Women of Mathematics proslijedio/la je Tweet
Yesterday's problem and solution. So excited!
@drrollergator skated in and did a fantastic explanation for us both of how to solve the problem and how to think about problems involving binomials--and didn't even need to take his awesome jacket off! Thank you, Gator! (cont. below)pic.twitter.com/n4tbabeiQ6
Prikaži ovu nitHvala. Twitter će to iskoristiti za poboljšanje vaše vremenske crte. PoništiPoništi -
Great Women of Mathematics proslijedio/la je Tweet
I
deaf mathematicians.https://twitter.com/gwomaths/status/1199482904121954304 …
Hvala. Twitter će to iskoristiti za poboljšanje vaše vremenske crte. PoništiPoništi -
Great Women of Mathematics proslijedio/la je Tweet
This whole thread is great. Focuses on clear history, includes broad accomplishments even outside the discipline, & ends with her hopeful view of math & science as a means of finding truth, with cooperation as a necessary piece.https://twitter.com/GWOMaths/status/1194224063004233735 …
Hvala. Twitter će to iskoristiti za poboljšanje vaše vremenske crte. PoništiPoništi -
Great Women of Mathematics proslijedio/la je Tweet
The first African American women to obtain a PhD in math! She was able to overcome the disadvantages she faced in an environment that lacked opportunities for higher education. She put in hard work in order to overcome the stereotypes and labels that she was born with.
@YHSMrsMerohttps://twitter.com/GWOMaths/status/1194224063004233735 …
Hvala. Twitter će to iskoristiti za poboljšanje vaše vremenske crte. PoništiPoništi -
Great Women of Mathematics proslijedio/la je Tweet
Aaaaahhh!!!!
@drrollergator did a#dailymaths guest answer!!!!

https://twitter.com/GWOMaths/status/1224266818006790144 …
Hvala. Twitter će to iskoristiti za poboljšanje vaše vremenske crte. PoništiPoništi -
Gator's solution continues in the pics. BTW, you don't have to be in Gator's league of coolness to do a guest answer. DM if interested!pic.twitter.com/NbxBSqyhMM
Prikaži ovu nitHvala. Twitter će to iskoristiti za poboljšanje vaše vremenske crte. PoništiPoništi -
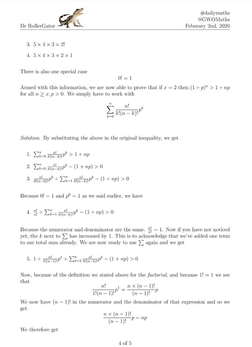
Yesterday's problem and solution. So excited!
@drrollergator skated in and did a fantastic explanation for us both of how to solve the problem and how to think about problems involving binomials--and didn't even need to take his awesome jacket off! Thank you, Gator! (cont. below)pic.twitter.com/n4tbabeiQ6
Prikaži ovu nitHvala. Twitter će to iskoristiti za poboljšanje vaše vremenske crte. PoništiPoništi -
Today's
#dailymaths problem from the Mathematics 2020 calendar in pic. Solution will post tomorrow. Daily problems with previous day's solution are tweeted ~6am Eastern. Solutions by me and/or@MathsTim unless otherwise stated. Guest solution posts welcome--DM if interested.pic.twitter.com/jqqjEZ7cFs
Prikaži ovu nitHvala. Twitter će to iskoristiti za poboljšanje vaše vremenske crte. PoništiPoništi -
Great Women of Mathematics proslijedio/la je Tweet
Here's an important person from history you may not have heard of: Euphemia Haynes, the first black woman to earn a PhD in mathematics.https://twitter.com/GWOMaths/status/1194224063004233735 …
Hvala. Twitter će to iskoristiti za poboljšanje vaše vremenske crte. PoništiPoništi -
First black woman to earn a PhD in mathematics!
#BlackHistoryMonth
https://twitter.com/gwomaths/status/1194224063004233735 …
Hvala. Twitter će to iskoristiti za poboljšanje vaše vremenske crte. PoništiPoništi -
Yesterday's problem and solution. Thanks to
@Heimdayl for this one. I anticipate quite a discussion in the thread below, ha ha!pic.twitter.com/HhbiznUymw
Prikaži ovu nitHvala. Twitter će to iskoristiti za poboljšanje vaše vremenske crte. PoništiPoništi -
Today's
#dailymaths problem from the Mathematics 2020 calendar in pic. Solution will post tomorrow. Daily problems with previous day's solution are tweeted ~6am Eastern. Solutions by me and/or@MathsTim unless otherwise stated. Guest solution posts welcome--DM if interested.pic.twitter.com/bB69lofBTv
Prikaži ovu nitHvala. Twitter će to iskoristiti za poboljšanje vaše vremenske crte. PoništiPoništi -
Great Women of Mathematics proslijedio/la je Tweet
Coming later this month—a
#dailymaths guest post from podcaster and bestselling author of mathematical books,@stevenstrogatz !!!!pic.twitter.com/UJoqepetAJPrikaži ovu nitHvala. Twitter će to iskoristiti za poboljšanje vaše vremenske crte. PoništiPoništi -
Great Women of Mathematics proslijedio/la je Tweet
Happy first day of Black History Month! Here’s a thread on the amazing Katherine Johnson.https://twitter.com/gwomaths/status/1191782750489063425 …
Hvala. Twitter će to iskoristiti za poboljšanje vaše vremenske crte. PoništiPoništi -
Great Women of Mathematics proslijedio/la je Tweet
day 1. starting off with a first that means so much to me.https://twitter.com/gwomaths/status/1194224063004233735 …
Hvala. Twitter će to iskoristiti za poboljšanje vaše vremenske crte. PoništiPoništi -
Great Women of Mathematics proslijedio/la je Tweet
This account was started on Halloween. Can we get it to 5,000 by Valentine’s Day, Twitter? I’ve been saving a thread on Hypatia for a celebratory occasion!
pic.twitter.com/x7VLiB3sQP
Prikaži ovu nitHvala. Twitter će to iskoristiti za poboljšanje vaše vremenske crte. PoništiPoništi -
Great Women of Mathematics proslijedio/la je TweetHvala. Twitter će to iskoristiti za poboljšanje vaše vremenske crte. PoništiPoništi
-
Here’s a link to
@stevenstrogatz awesome podcast, The Joy of X (same title as my favorite among his books).https://www.stitcher.com/podcast/the-joy-of-x …Prikaži ovu nitHvala. Twitter će to iskoristiti za poboljšanje vaše vremenske crte. PoništiPoništi -
Happy first day of Black History Month! Here’s a thread on the amazing Katherine Johnson.https://twitter.com/gwomaths/status/1191782750489063425 …
Hvala. Twitter će to iskoristiti za poboljšanje vaše vremenske crte. PoništiPoništi
Čini se da učitavanje traje već neko vrijeme.
Twitter je možda preopterećen ili ima kratkotrajnih poteškoća u radu. Pokušajte ponovno ili potražite dodatne informacije u odjeljku Status Twittera.