Tweets
- Tweets, huidige pagina.
- Tweets en antwoorden
- Media
Je hebt @GBR_Data geblokkeerd
Weet je zeker dat je deze Tweets wilt bekijken? @GBR_Data wordt niet gedeblokkeerd door Tweets te bekijken.
-
Benjamin Ricaud heeft geretweet
I am late to the party (was on holidays), but have now read
@lpachter's "Specious Art" paper as well as ~300 quote tweets/threads, played with the code, and can add my two cents. Spoiler: I disagree with their conclusions. Some claims re t-SNE/UMAP are misleading. Thread.
https://twitter.com/lpachter/status/1431325969411821572 …pic.twitter.com/Ky9QRmXoyS
Deze collectie tonenBedankt, Twitter gebruikt dit om je tijdlijn te verbeteren. Ongedaan makenOngedaan maken -
It shares many properties with the standard Laplacian, seehttps://linkinghub.elsevier.com/retrieve/pii/S1631070519301094 …
Deze collectie tonenBedankt, Twitter gebruikt dit om je tijdlijn te verbeteren. Ongedaan makenOngedaan maken -
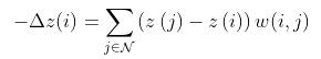
The combinatorial Laplacian, with weights on the edges:pic.twitter.com/eA8ahEnPz6
Deze collectie tonenBedankt, Twitter gebruikt dit om je tijdlijn te verbeteren. Ongedaan makenOngedaan maken -
This is slightly different for the graph Laplacian, the different number of connections per node makes it a bit more difficult to define. There are 3: combinatorial, normalized and random walk Laplacian. The random walk Laplacian is the only one to have this propertyhttps://twitter.com/docmilanfar/status/1437277786020798472 …
Deze collectie tonenBedankt, Twitter gebruikt dit om je tijdlijn te verbeteren. Ongedaan makenOngedaan maken -
Benjamin Ricaud heeft geretweetBedankt, Twitter gebruikt dit om je tijdlijn te verbeteren. Ongedaan makenOngedaan maken
-
The face depixelizer is not very goodhttps://twitter.com/jkbckr/status/1434186424228667394 …
Bedankt, Twitter gebruikt dit om je tijdlijn te verbeteren. Ongedaan makenOngedaan maken -
Recent approaches in anomaly detection use self-supervised learninghttps://twitter.com/GoogleAI/status/1433533689674313729 …
Bedankt, Twitter gebruikt dit om je tijdlijn te verbeteren. Ongedaan makenOngedaan maken -
Benjamin Ricaud heeft geretweet
Open Polar: A new search portal to help interdisciplinary and targeted research on polar issues, as well as being a valuable tool in education and governance:
#Arctic#Antarctic#openscience#portal#educationhttps://en.uit.no/nyheter/artikkel/kortnytt?p_document_id=741995 …Bedankt, Twitter gebruikt dit om je tijdlijn te verbeteren. Ongedaan makenOngedaan maken -
Benjamin Ricaud heeft geretweet
Regardless of one's opinion on the French 'health pass', there's one thing everyone will have to agree on: the effect on vaccination coverage in the country has been absolutely striking.pic.twitter.com/yq3Q8vRsIW
Deze collectie tonenBedankt, Twitter gebruikt dit om je tijdlijn te verbeteren. Ongedaan makenOngedaan maken -
Benjamin Ricaud heeft geretweet
It's time to stop making t-SNE & UMAP plots. In a new preprint w/ Tara Chari we show that while they display some correlation with the underlying high-dimension data, they don't preserve local or global structure & are misleading. They're also arbitrary.
https://www.biorxiv.org/content/10.1101/2021.08.25.457696v1 …pic.twitter.com/dmFzD5RR6R
Deze collectie tonenBedankt, Twitter gebruikt dit om je tijdlijn te verbeteren. Ongedaan makenOngedaan maken -
Here is where I am going to work, starting on the 1st of September. Looking forward!
pic.twitter.com/sfx1flGXGo
Bedankt, Twitter gebruikt dit om je tijdlijn te verbeteren. Ongedaan makenOngedaan maken -
Benjamin Ricaud heeft geretweetBedankt, Twitter gebruikt dit om je tijdlijn te verbeteren. Ongedaan makenOngedaan maken
-
Call for papers on deep learning. Join us for the NLDL conference. The only one on deep learning above the arctic circle!https://twitter.com/jenssen_robert/status/1412727240157286401 …
Bedankt, Twitter gebruikt dit om je tijdlijn te verbeteren. Ongedaan makenOngedaan maken -
Benjamin Ricaud heeft geretweet
Th real winner today is humanity, for we have been gifted this new meme.https://twitter.com/BantshireUni/status/1409622804845121543 …
Bedankt, Twitter gebruikt dit om je tijdlijn te verbeteren. Ongedaan makenOngedaan maken -
Benjamin Ricaud heeft geretweet
Il n'y a vraiment rien qui va dans ce tweet, rien ! Mais on peut en faire un fil pédagogique pour les jeunes chercheurs et chercheuses car c'est un bel exemple de comportement non-éthique de publication scientifique !
#déontologie#BonnesPratiques#éthiquepic.twitter.com/eYShe3nwJi
Deze collectie tonenBedankt, Twitter gebruikt dit om je tijdlijn te verbeteren. Ongedaan makenOngedaan maken -
Benjamin Ricaud heeft geretweet
Modélisation par
@ete_fr de l'impact hospitalier du variant Delta en France. D'après le scénario médian (avantage de transmissibilité de 92%), on observerait un rebond à la mi-septembre à hauteur de 1.000 personnes en réanimation. Dans le pire scénario, on dépasse les 5.000 pers.pic.twitter.com/ehlKNLyE3L
Deze collectie tonenBedankt, Twitter gebruikt dit om je tijdlijn te verbeteren. Ongedaan makenOngedaan maken -
Nice exploration of Wikipedia datahttps://twitter.com/yiqinfu/status/1405969239089979393 …
Bedankt, Twitter gebruikt dit om je tijdlijn te verbeteren. Ongedaan makenOngedaan maken -
Benjamin Ricaud heeft geretweet
Didier Raoult : bientôt l’heure des comptes ? L’édito de
#PatrickCohen dans#CàVous
pic.twitter.com/7czQtCedMHBedankt, Twitter gebruikt dit om je tijdlijn te verbeteren. Ongedaan makenOngedaan maken -
Benjamin Ricaud heeft geretweet
Doctor: We used a deep learning algorithm for your MRI reconstruction. Turns out one of your kidneys is a cat.pic.twitter.com/aRM0CAJ4WS
Deze collectie tonenBedankt, Twitter gebruikt dit om je tijdlijn te verbeteren. Ongedaan makenOngedaan maken -
Benjamin Ricaud heeft geretweet
What if we just didn't bold the overlapping distributionspic.twitter.com/XYtBGRbwso
Bedankt, Twitter gebruikt dit om je tijdlijn te verbeteren. Ongedaan makenOngedaan maken
Het laden lijkt wat langer te duren.
Twitter is mogelijk overbelast of ondervindt een tijdelijke onderbreking. Probeer het opnieuw of bekijk de Twitter-status voor meer informatie.