Tweetovi
- Tweetovi, trenutna stranica.
- Tweetovi i odgovori
- Medijski sadržaj
Blokirali ste korisnika/cu @Francis16833887
Jeste li sigurni da želite vidjeti te tweetove? Time nećete deblokirati korisnika/cu @Francis16833887
-
Hvala. Twitter će to iskoristiti za poboljšanje vaše vremenske crte. PoništiPoništi
-
It turns out that the tropical numbers are multiplicatively closed, once we've properly defined multiplicity, and accounted for the fact that roots may end up at minus infinity! Can you prove it? 16/n, n=16.
Prikaži ovu nitHvala. Twitter će to iskoristiti za poboljšanje vaše vremenske crte. PoništiPoništi -
Here's an example of the graph of tropical x^2 +x, which doesn't have a constant term. One of its roots has gone off to minus infinity! Thankfully, this point is included in the tropical numbers, so we still have 2 roots. 15/npic.twitter.com/4XFNe4WjEV
Prikaži ovu nitHvala. Twitter će to iskoristiti za poboljšanje vaše vremenske crte. PoništiPoništi -
Notice that the multiplicity of a root depends on the amount by which the slope of the graph changes! Notice also that a quadratic polynomial always has exactly 2 roots, counted with multiplicity. That is, as long as we have a constant term! 14/n
Prikaži ovu nitHvala. Twitter će to iskoristiti za poboljšanje vaše vremenske crte. PoništiPoništi -
And once we've made this definition, we can see that the tropical world behaves much more nicely than the real one! For example, the quadratic equation takes a very simple form! 13/npic.twitter.com/j6jqmJtcjy
Prikaži ovu nitHvala. Twitter će to iskoristiti za poboljšanje vaše vremenske crte. PoništiPoništi -
The roots of a tropical polynomial are defined to be the points where it's graph is discontinuous, or equivalently, where the maximum of it's linear terms is achieved more than once. This may seem like a weird definition, but the story I told gives the motivation. 12/n
Prikaži ovu nitHvala. Twitter će to iskoristiti za poboljšanje vaše vremenske crte. PoništiPoništi -
And below is it's graph. The discontinuities occur at -3 and 3, where the maximum of the linear terms is achieved twice. 11/npic.twitter.com/ZghV7EbytB
Prikaži ovu nitHvala. Twitter će to iskoristiti za poboljšanje vaše vremenske crte. PoništiPoništi -
The tropical version of our polynomial is given by the following. 10/npic.twitter.com/RkwuN0neCy
Prikaži ovu nitHvala. Twitter će to iskoristiti za poboljšanje vaše vremenske crte. PoništiPoništi -
The polynomial can only vanish when the two dominant terms are comparable. If we take x to be approximately +/- 10^y, then this occurs precisely when y=-3 and y=3. Below we see that this indeed gives a good approximation to the roots. 9/npic.twitter.com/P5czrUJL6w
Prikaži ovu nitHvala. Twitter će to iskoristiti za poboljšanje vaše vremenske crte. PoništiPoništi -
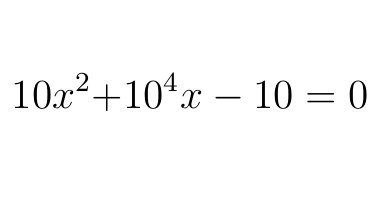
Tropical numbers are useful when we care about solving problems approximately. For example, suppose we want to solve the following polynomial, but we only care about the order of magnitude of the solutions. 8/npic.twitter.com/56xRsKMmmX
Prikaži ovu nitHvala. Twitter će to iskoristiti za poboljšanje vaše vremenske crte. PoništiPoništi -
By the way, some mathematicians let t = exp(1/T), and call T the temperature. Then the tropical addition occurs in the limit of zero temperature. There's also an interpretation of this limit as a dequantization. I might get to this later. 7/n https://arxiv.org/pdf/1108.3111.pdf …
Prikaži ovu nitHvala. Twitter će to iskoristiti za poboljšanje vaše vremenske crte. PoništiPoništi -
However, this map does not preserve the addition. Instead we get an entire family of t-dependent additions on the set of tropical numbers. And if we let t go to positive infinity, we recover the tropical addition! 6/npic.twitter.com/j9ZjcQ3i9y
Prikaži ovu nitHvala. Twitter će to iskoristiti za poboljšanje vaše vremenske crte. PoništiPoništi -
Using the logarithm base t, for a positive number t, we can identify the semi-field of non-negative reals with the tropical numbers. 5/npic.twitter.com/CnyFQlTiO2
Prikaži ovu nitHvala. Twitter će to iskoristiti za poboljšanje vaše vremenske crte. PoništiPoništi -
Where do they come from? The non-negative real numbers, with the normal operations, also give a semi-field. It's clear why there are no additive inverses in this case: we've thrown away all the negative numbers! 4/n
Prikaži ovu nitHvala. Twitter će to iskoristiti za poboljšanje vaše vremenske crte. PoništiPoništi -
Tropical addition is also idempotent, meaning that a + a = a, for each tropical number a. 3/n
Prikaži ovu nitHvala. Twitter će to iskoristiti za poboljšanje vaše vremenske crte. PoništiPoništi -
The tropical numbers give an example of a semi-field. This means that they satisfy all the field axioms except for existence of additive inverses. The tropical 0 is minus infinity. Can you see why there are no inverses? 2/n
Prikaži ovu nitHvala. Twitter će to iskoristiti za poboljšanje vaše vremenske crte. PoništiPoništi -
The tropical numbers are defined as the real numbers with minus infinity added in, along with the operations of tropical addition and multiplication. 1/npic.twitter.com/GroYHTmdYp
Prikaži ovu nitHvala. Twitter će to iskoristiti za poboljšanje vaše vremenske crte. PoništiPoništi -
Francis proslijedio/la je Tweet
It's so funny, I have this weird like self-deprecation/hyper-integrity thing where I feel the need to say "So this next part is really cool, but it was actually ________'s idea."
Hvala. Twitter će to iskoristiti za poboljšanje vaše vremenske crte. PoništiPoništi -
Francis proslijedio/la je Tweet
We Need an International Center for Climate Modeling The science community must join forces to provide the most accurate long-term predictions and make their results publicly accessiblehttps://blogs.scientificamerican.com/observations/we-need-an-international-center-for-climate-modeling/# …
Hvala. Twitter će to iskoristiti za poboljšanje vaše vremenske crte. PoništiPoništi -
Hvala. Twitter će to iskoristiti za poboljšanje vaše vremenske crte. PoništiPoništi
Čini se da učitavanje traje već neko vrijeme.
Twitter je možda preopterećen ili ima kratkotrajnih poteškoća u radu. Pokušajte ponovno ili potražite dodatne informacije u odjeljku Status Twittera.