Tweetovi
- Tweetovi, trenutna stranica.
- Tweetovi i odgovori
- Medijski sadržaj
Blokirali ste korisnika/cu @Expert_Says
Jeste li sigurni da želite vidjeti te tweetove? Time nećete deblokirati korisnika/cu @Expert_Says
-
. proslijedio/la je TweetHvala. Twitter će to iskoristiti za poboljšanje vaše vremenske crte. PoništiPoništi
-
. proslijedio/la je Tweet
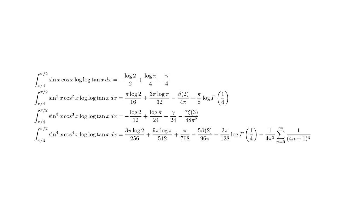
#本日の積分 2019/8/15 normal 以前投稿したFresnel積分及びDirichlet積分の一般化を修正した。3番目の積分におけるn=1は極限と解釈する。pic.twitter.com/qGn2U0Ea7u
Hvala. Twitter će to iskoristiti za poboljšanje vaše vremenske crte. PoništiPoništi -
. proslijedio/la je Tweet
以前投稿した非線形漸化式を改めて解いてみた所少し間違えていたので修正した。難易度は悪質だと思う。pic.twitter.com/Cm5X7ltknt
Hvala. Twitter će to iskoristiti za poboljšanje vaše vremenske crte. PoništiPoništi -
. proslijedio/la je Tweet
Incredible talent. Wait for it. Credit: Tino Tomic / IG:dinotomicpic.twitter.com/vkgvtoYFJJ
Hvala. Twitter će to iskoristiti za poboljšanje vaše vremenske crte. PoništiPoništi -
. proslijedio/la je TweetHvala. Twitter će to iskoristiti za poboljšanje vaše vremenske crte. PoništiPoništi
-
. proslijedio/la je Tweet
Zum Tag 34: 34 ist die kleinste Zahl, welche sich auf vier Arten als Summe zweier Primzahlen schreiben lässt. 34=3+31 34=5+29 34=11+23 34=17+17
#nursoHvala. Twitter će to iskoristiti za poboljšanje vaše vremenske crte. PoništiPoništi -
. proslijedio/la je TweetHvala. Twitter će to iskoristiti za poboljšanje vaše vremenske crte. PoništiPoništi
-
. proslijedio/la je TweetHvala. Twitter će to iskoristiti za poboljšanje vaše vremenske crte. PoništiPoništi
-
. proslijedio/la je Tweet
Finalizamos con propiedades breves: Seis factoriales: 2220=6!×(1!+2!)+(4!+3!)×2! El 2 en tres monocifras: 2220=2222-2=2×222×(2+2+2/2) =222×(2×2×2+2) Dígitos simétricos: 2220=1779+9×7×7×1
Hvala. Twitter će to iskoristiti za poboljšanje vaše vremenske crte. PoništiPoništi -
. proslijedio/la je Tweet
Llegamos a la fecha palindrómica del año, escrita en formato completo: 02/02/2020. Aquí seguiremos con el formato reducido, para facilitar cálculos como el siguiente: 2220=2^2+2^3+2^5+2^7+2^11 Son potencias de 2 que tienen como exponentes los cinco primeros primos.
Hvala. Twitter će to iskoristiti za poboljšanje vaše vremenske crte. PoništiPoništi -
. proslijedio/la je Tweet
2220 es suma de ocho cuadrados consecutivos: 2220=13^2+14^2+15^2+16^2+17^2+18^2+19^2+20^2 Por ello se puede calcular también como 2220=(20×21×41-12×13×25)/6 (Ver https://es.wikipedia.org/wiki/Cuadrado_perfecto …)
Hvala. Twitter će to iskoristiti za poboljšanje vaše vremenske crte. PoništiPoništi -
. proslijedio/la je Tweet
2220 posee 24 divisores (función TAU o DIVISOR). Su función PHI, que cuenta los números menores que 2220 y primos con él (incluido el 1), tiene un valor que es exactamente su cuadrado, 576: PHI(2220)=576=24^2=TAU(2220)^2
Hvala. Twitter će to iskoristiti za poboljšanje vaše vremenske crte. PoništiPoništi -
. proslijedio/la je Tweet
2220 es el número poligonal de 23 lados de longitud 15, ya que según la fórmula, se cumple: 2220=15×(15×(23-2)-(23-4))/2 (Ver https://es.wikipedia.org/wiki/N%C3%BAmero_poligonal …)
Hvala. Twitter će to iskoristiti za poboljšanje vaše vremenske crte. PoništiPoništi -
. proslijedio/la je Tweet
2220 se forma con un cuadrado y un capicúa tanto en suma como en producto: 2220=47^2+11 2220=2^2×555
Hvala. Twitter će to iskoristiti za poboljšanje vaše vremenske crte. PoništiPoništi -
. proslijedio/la je TweetHvala. Twitter će to iskoristiti za poboljšanje vaše vremenske crte. PoništiPoništi
-
. proslijedio/la je TweetHvala. Twitter će to iskoristiti za poboljšanje vaše vremenske crte. PoništiPoništi
-
. proslijedio/la je TweetHvala. Twitter će to iskoristiti za poboljšanje vaše vremenske crte. PoništiPoništi
-
. proslijedio/la je TweetHvala. Twitter će to iskoristiti za poboljšanje vaše vremenske crte. PoništiPoništi
-
. proslijedio/la je Tweet
@pickover@MarcAbrahams@standupmaths@edsouthall Special on Palindromic Day 02022020 or 20200202. Pandiagonal magic square of order 4 appeared in@alexbellos column "The Guardian". Links: 1. https://www.theguardian.com/science/2020/jan/27/can-you-solve-it-toot-toot-for-world-palindrome-day …; 2. https://inderjtaneja.com/2020/02/02/universal-palindromic-day-02-02-2020-and-two-digits-magic-squares/ …pic.twitter.com/gB0YOp7639
Hvala. Twitter će to iskoristiti za poboljšanje vaše vremenske crte. PoništiPoništi -
. proslijedio/la je Tweet
Happy Palindrome Day! Apparently, this is a big one.pic.twitter.com/exZosOfX4W
Hvala. Twitter će to iskoristiti za poboljšanje vaše vremenske crte. PoništiPoništi
Čini se da učitavanje traje već neko vrijeme.
Twitter je možda preopterećen ili ima kratkotrajnih poteškoća u radu. Pokušajte ponovno ili potražite dodatne informacije u odjeljku Status Twittera.