Medijski sadržaj
- Tweetovi
- Tweetovi i odgovori
- Medijski sadržaj, trenutna stranica.
-
What most don’t understand—electronic medicine is treating tumors but also robust success with:
Bacteria
Viruses
One example this patent:
“Treating Bacteria with Electric Fields”
They are at an Apple Moment in electronic medicine.
http://appft.uspto.gov/netacgi/nph-Parser?Sect1=PTO2&Sect2=HITOFF&p=1&u=%2Fnetahtml%2FPTO%2Fsearch-bool.html&r=1&f=G&l=50&co1=AND&d=PG01&s1=%22Treating+bacteria+electric+fields%22.TTL.&OS=TTL/%22Treating+bacteria+with+electric+fields%22&RS=TTL/%22Treating+bacteria+with+electric+fields%22 … https://twitter.com/brianroemmele/status/1225534076335087616 …pic.twitter.com/VePAMZOwZJ
-
The
@Novocure Tumor Treating Fields system has many patents. I saw this one in 2005 & knew with FDA approval they would herald a new era of electronic medicine. Retainer clients got a full report on these patents and were in pre IPO and IPO. More soon: http://appft.uspto.gov/netacgi/nph-Parser?Sect1=PTO2&Sect2=HITOFF&p=1&u=%2Fnetahtml%2FPTO%2Fsearch-bool.html&r=1&f=G&l=50&co1=AND&d=PG01&s1=%22Treating+tumor+like+electric+fields+different+frequencies%22.TTL.&OS=TTL/%22Treating+a+tumor+or+the+like+with+electric+fields+at+different+frequencies%22&RS=TTL/%22Treating+a+tumor+or+the+like+with+electric+fields+at+different+frequencies%22 … https://twitter.com/brianroemmele/status/1224828770655145984 …pic.twitter.com/f7weS9XBM0
-
Field research on
@seescandies for retainer clients on long term commodity business plans. There is much for tech companies to learn here. Full disclosure required as I have a decades investment in Berkshire Hathaway.pic.twitter.com/TCFro49HNy
-
Parts scavenger hunt to make more portable my latest portable and miniaturized version on
#TheIntelligenceAmplifier. Buttons will be#VoiceFirst! Back to my garage lab to build. I hope you can see it one day!pic.twitter.com/BUMZDm7Rip
-
Consider the most important pixel in history. On this day in 1990 we sent a program to an 8-track tape player in space to orchestrate a sequence to take this image. The furthest point humans have reached in space—Voyager sent this Valentine’s Day gift: https://qr.ae/TWnawH pic.twitter.com/P5yuk3C13O
-
The results from Gallup's Mood poll are interesting: 90% are satisfied with the way things are going in their personal life. Highest in history. This correlates to the trend
#TheIntelligenceAmplifier has reported also using REGs and other telemetry. https://news.gallup.com/poll/284285/new-high-americans-satisfied-personal-life.aspx …pic.twitter.com/bAddjK0k1D
-
Boom! Apple makes major update to Apple Pay patent with new connections to
#VoiceCommerce! “USER DEVICE ENABLING ACCESS TO PAYMENT INFORMATION IN RESPONSE TO MECHANICAL INPUT DETECTION” “Brian, what is#VoiceCommerce no one will use it” Hear me now? http://appft.uspto.gov/netacgi/nph-Parser?Sect1=PTO2&Sect2=HITOFF&p=1&u=%2Fnetahtml%2FPTO%2Fsearch-bool.html&r=1&f=G&l=50&co1=AND&d=PG01&s1=%22USER+DEVICE+ENABLING+ACCESS+PAYMENT+INFORMATION+RESPONSE+MECHANICAL+INPUT+DETECTION%22.TTL.&OS=TTL/%22USER+DEVICE+ENABLING+ACCESS+TO+PAYMENT+INFORMATION+IN+RESPONSE+TO+MECHANICAL+INPUT+DETECTION%22&RS=TTL/%22USER+DEVICE+ENABLING+ACCESS+TO+PAYMENT+INFORMATION+IN+RESPONSE+TO+MECHANICAL+INPUT+DETECTION%22 …pic.twitter.com/Sbxm4R8ins
-
One of the reasons the
#Bitcoin
halving will be more monumental this time is the astonishing growth of Bitcoin ATM locations.
History will show this was a useful meter on how Bitcoin’s accent was so rapid.pic.twitter.com/qLsCjyQ0g4
-
Consider the work of Professor Benjamin Libet. I studied it in the 1980s—I was certain a moment will come when it will be important to humans and AI. That moment is here—this video illustrates why it’s a most important intelligence point of the 2020s. Free will vs. Free won’t:pic.twitter.com/f99FW4bz13
-
Spectacular Apple academic paper on wake words in
#VoiceFirst systems. Great to see some of the protocols I have been working on in my Garage Lab being lifted and expanded! Apple has some big#VoiceFirst surprises this year! https://arxiv.org/pdf/2001.10816.pdf …pic.twitter.com/BxlXvYCT2i
-
In 1973 Steve Jobs read a Bicycle propels man 2 times the speed of the fastest condor. The Bicycle-of-the-mind is a metaphor for the personal computer. In 2020s Intelligence Amplification will surpass humans at a computer. Part of the next revolution—the
#VoiceFirst revolutionpic.twitter.com/FWXNXaesqQ
Prikaži ovu nit -
It was February 1981—26 yr old Steve Jobs said: “This is a 21st Bicycle that amplifies a certain intellectual ability man has—and I think after this process has come to maturity the effects it has on society will far out strip the petro-chemical revolution” Steve indeed—it did.pic.twitter.com/cCJa2Llt9s
Prikaži ovu nit -
Thank you! I really appreciate it. I will reread it again tonight. It is well worn but inviting.pic.twitter.com/szlyfQ9ApH
-
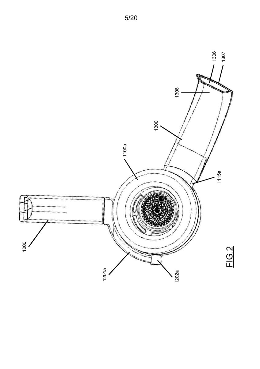
In 2018 my clients saw this stunning
@Dyson patent. A bluetooth headphone & air quality sensors and AI that will purifier the air around you and laterally zap many particulates & pathogens. Today in 2020 with#Coronavirus many have rediscovered it. https://www.ipo.gov.uk/p-ipsum/Case/ApplicationNumber/GB1811994.1 …pic.twitter.com/HAPoSEaKla
-
This says it all: “We can leverage physics to fight cancer, By using physics to influence biology—Novocure discovered another way to treat cancer. Tumor Treating Fields utilizes natural electrical properties of dividing cancer cells" A grand point in electronic medicine.pic.twitter.com/7lGnuquNDQ
Prikaži ovu nit -
I said the 2020s will bring about a revolution in electronic medicine.
@Novocure Tumor Treating Fields uses alternating electric fields specifically tuned to target cancer cells. Spectacular technology that will only improve with new AI. This is an "Apple moment" in medicine.pic.twitter.com/Xi0IUnAt2i
Prikaži ovu nit -
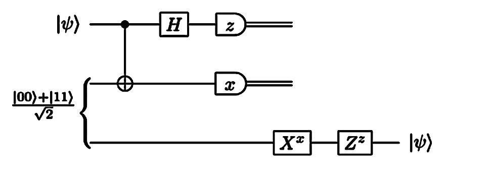
Working on Quantum teleportation design. This is one very interesting design.pic.twitter.com/wqX45dADP3
-
BOOOOM! In 2020
@eMarketer estimates that 26% of#VoiceFirst device owners will make a purchase. However a big part of#VoiceCommerce is discovery and 35.2% are using#VoiceFirst devices for shopping. It is clear#VoiceCommerce is on the path go massive growth. https://twitter.com/BrianRoemmele/status/1224748804672385030 …pic.twitter.com/0aUclLjn7e
-
BOOOOM! In 2020
@eMarketer estimates that 21.6 million people will have made a purchase using#VoiceFirst devices. 10.8% of all digital buyers will have made a#VoiceCommerce purchase using a#VoiceFirst device. “Brian what is#VoiceCommerce” Hear me now 21.6 million times?pic.twitter.com/sBrMZCbFwG
-
Čini se da učitavanje traje već neko vrijeme.
Twitter je možda preopterećen ili ima kratkotrajnih poteškoća u radu. Pokušajte ponovno ili potražite dodatne informacije u odjeljku Status Twittera.