Medijski sadržaj
- Tweetovi
- Tweetovi i odgovori
- Medijski sadržaj, trenutna stranica.
-
My old friend, you have served me well. And now it is time to dust you off, and send you on to the next generation.pic.twitter.com/THJKtys2AZ
-
-
Thanks for sharing, these are great photos! (And I don't have any myself of the session, so thanks!) Steve, I don't think we even each other yet back then, is that right?pic.twitter.com/LOJjXD7pZD
-
Just noticed. If diameter=1000, then circumference~=...pic.twitter.com/IDOPltl4OP
-
Good snow day for a Tinker Box to arrive in the mail. Double pendulum (chaotic) with LED shining on a glow board. Hours of fun!pic.twitter.com/SsT1hQuboY
-
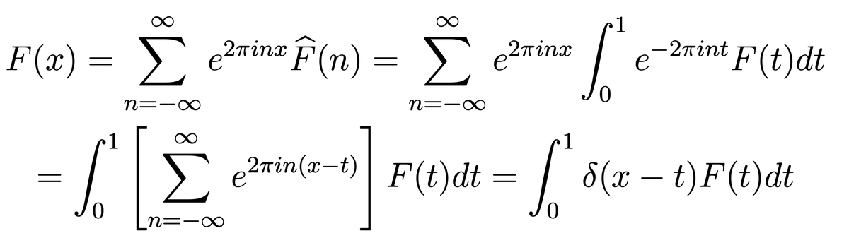
Typo: your delta and F both have period 1, so the Fourier transform is: F^(n)=int_0^1 F(x) e^(-2pi i n x)dx, not int_{-infty}^infinity.pic.twitter.com/n0XX9LhiRb
-
Beautiful animation of Soddy's sextet! One can even arrange for *all* the spheres in the resulting packing to have radii reciprocals of integers, as Soddy himself did, with actual balls, in 1937. (And one can prove a full local-global theorem here... https://arxiv.org/pdf/1208.5441.pdf …) https://twitter.com/ilarrosac/status/1216650093903912960 …pic.twitter.com/ggkgZNinQF
-
Sure thing, that's why I posted the Mathematica code; feel free to play and adjust to your liking (same answer for
@FrederickPeck's request; I don't think it can be made interactive in twitter, but run the code in Mathematica and look at one still; rotate/zoom as you like) Enjoy!pic.twitter.com/pAoAWRCBo2 -
2/2 Based on Matt Roscoe's $15,000 winning entry to
@MoMath1's Rosenthal Prize https://momath.org/wp-content/uploads/2020/01/MattRoscoe2019RosenthalPrizeLessonPlan.pdf …. Walk around and see what you find! One-story purple buildings are all primes. Tallest skyscrapers are at 256=2^8 and 384=2^7 x 3. Greens only on avenues 0,5,10,15. Etc. Enjoy!pic.twitter.com/Eef2B41NQS
Prikaži ovu nit -
Welcome to Factor City! Here building blocks are primes, and the city shows the prime factorizations of 0 to 399, organized in 20x20 streets/avenues. Blue=2, Red=3, Green=5, Orange=7, Yellow=11, Purple=all other primes. (There is no building 0, and building 1 is black.) Cont'dpic.twitter.com/tVvMsfVAsG
Prikaži ovu nit -
Yes indeed! (Though there's a lag for editing.) All
@MoMath1 Math Encounters talks are freely available in full on youtube. Here is a randomly selected one ...https://www.youtube.com/watch?v=8bTPZBPQPSM … -
Odlyzko’s pair correlation data versus random matrix theory predictionspic.twitter.com/4sYEgGammE
Prikaži ovu nit -
The Montgomery/Dyson story (why you should always go to department tea)pic.twitter.com/x9tnr5pOVR
Prikaži ovu nit -
Selberg’s elementary proof of the prime number theorem (and Erdos...)pic.twitter.com/8w3QeTMzf7
Prikaži ovu nit -
-
-
Brian Conrey’s talk on the Riemann Hypothesis, tonight at
@MoMath1pic.twitter.com/Ky8ThVXBuJ
Prikaži ovu nit -
Very convincing arguments here (I think) about Galileo's incompetence in mathematics (and the scientific method he is purported to have founded). The "Tracks of Galileo" exhibit
@MoMath1 is about the Brachistochrone Problem, the solution to which he famously blundered... https://twitter.com/viktorblasjo/status/1214611984597078016 …pic.twitter.com/DSUyF3fz2V
-
I'm reminded of this classic SNL sketch with Seinfeld as host. (Surely no math teacher ever feels this way, right?...) https://www.youtube.com/watch?v=Bdf_XdDwc-o …
#MTBoS -
Actually I really enjoyed the first time there was a gravity snafu. We got into a discussion of the first computer “bug”, cosmic rays changing bits all the time, error correction (why it might https://www.quantamagazine.org/how-space-and-time-could-be-a-quantum-error-correcting-code-20190103/or … might not https://www.quantamagazine.org/gil-kalais-argument-against-quantum-computers-20180207/ … work in quantum comp’s), etc.pic.twitter.com/m6QLVlo4IQ
Čini se da učitavanje traje već neko vrijeme.
Twitter je možda preopterećen ili ima kratkotrajnih poteškoća u radu. Pokušajte ponovno ili potražite dodatne informacije u odjeljku Status Twittera.