Skip to content
By using Twitter’s services you agree to our Cookies Use. We and our partners operate globally and use cookies, including for analytics, personalisation, and ads.
  • Home Home Home, current page.
  • Moments Moments Moments, current page.

Saved searches

  • Remove
  • In this conversation
    Verified accountProtected Tweets @
Suggested users
  • Verified accountProtected Tweets @
  • Verified accountProtected Tweets @
  • Language: English
    • Bahasa Indonesia
    • Bahasa Melayu
    • Català
    • Čeština
    • Dansk
    • Deutsch
    • English UK
    • Español
    • Filipino
    • Français
    • Hrvatski
    • Italiano
    • Magyar
    • Nederlands
    • Norsk
    • Polski
    • Português
    • Română
    • Slovenčina
    • Suomi
    • Svenska
    • Tiếng Việt
    • Türkçe
    • Ελληνικά
    • Български език
    • Русский
    • Српски
    • Українська мова
    • עִבְרִית
    • العربية
    • فارسی
    • मराठी
    • हिन्दी
    • বাংলা
    • ગુજરાતી
    • தமிழ்
    • ಕನ್ನಡ
    • ภาษาไทย
    • 한국어
    • 日本語
    • 简体中文
    • 繁體中文
  • Have an account? Log in
    Have an account?
    · Forgot password?

    New to Twitter?
    Sign up
ABC's profile
ABC News
ABC News
ABC News
Verified account
@ABC

Tweets

ABC NewsVerified account

@ABC

All the news and information you need to see, curated by the @ABC News team. Instagram: https://www.instagram.com/abcnews 

New York City / Worldwide
abcnews.com
Joined April 2009

Tweets

  • © 2018 Twitter
  • About
  • Help Center
  • Terms
  • Privacy policy
  • Cookies
  • Ads info
Dismiss
Previous
Next

Go to a person's profile

Saved searches

  • Remove
  • In this conversation
    Verified accountProtected Tweets @
Suggested users
  • Verified accountProtected Tweets @
  • Verified accountProtected Tweets @

Promote this Tweet

Block

  • Tweet with a location

    You can add location information to your Tweets, such as your city or precise location, from the web and via third-party applications. You always have the option to delete your Tweet location history. Learn more

    Your lists

    Create a new list


    Under 100 characters, optional

    Privacy

    Copy link to Tweet

    Embed this Tweet

    Embed this Video

    Add this Tweet to your website by copying the code below. Learn more

    Add this video to your website by copying the code below. Learn more

    Hmm, there was a problem reaching the server.

    By embedding Twitter content in your website or app, you are agreeing to the Twitter Developer Agreement and Developer Policy.

    Preview

    Why you're seeing this ad

    Log in to Twitter

    · Forgot password?
    Don't have an account? Sign up »

    Sign up for Twitter

    Not on Twitter? Sign up, tune into the things you care about, and get updates as they happen.

    Sign up
    Have an account? Log in »

    Two-way (sending and receiving) short codes:

    Country Code For customers of
    United States 40404 (any)
    Canada 21212 (any)
    United Kingdom 86444 Vodafone, Orange, 3, O2
    Brazil 40404 Nextel, TIM
    Haiti 40404 Digicel, Voila
    Ireland 51210 Vodafone, O2
    India 53000 Bharti Airtel, Videocon, Reliance
    Indonesia 89887 AXIS, 3, Telkomsel, Indosat, XL Axiata
    Italy 4880804 Wind
    3424486444 Vodafone
    » See SMS short codes for other countries

    Confirmation

     

    Welcome home!

    This timeline is where you’ll spend most of your time, getting instant updates about what matters to you.

    Tweets not working for you?

    Hover over the profile pic and click the Following button to unfollow any account.

    Say a lot with a little

    When you see a Tweet you love, tap the heart — it lets the person who wrote it know you shared the love.

    Spread the word

    The fastest way to share someone else’s Tweet with your followers is with a Retweet. Tap the icon to send it instantly.

    Join the conversation

    Add your thoughts about any Tweet with a Reply. Find a topic you’re passionate about, and jump right in.

    Learn the latest

    Get instant insight into what people are talking about now.

    Get more of what you love

    Follow more accounts to get instant updates about topics you care about.

    Find what's happening

    See the latest conversations about any topic instantly.

    Never miss a Moment

    Catch up instantly on the best stories happening as they unfold.

    1. ABC News‏Verified account @ABC Apr 9

      NEW: Facebook CEO Mark Zuckerberg's opening remarks for this week's congressional testimony released. "It will take some time to work through all of the changes we need to make, but I’m committed to getting it right," he says. https://abcn.ws/2qjpbk9 pic.twitter.com/HntUkuiU6x

      27 replies 108 retweets 112 likes
      Show this thread
      ABC News‏Verified account @ABC Apr 9

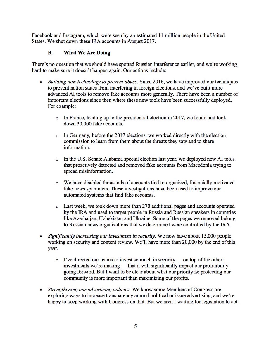
      MORE: "There’s no question that we should have spotted Russian interference earlier, and we’re working hard to make sure it doesn’t happen again," Facebook CEO Mark Zuckerberg is expected to say during congressional testimony this week. http://abcn.ws/2qjpbk9 pic.twitter.com/VzdIi1HIlt

      9:20 AM - 9 Apr 2018
      • 45 Retweets
      • 37 Likes
      • عمار carl Jessy Nguyen77.dn Shelley Danschmidt Gina Corbitt Walt 🃏 Real_Infinity95 Sydney Freeman
      12 replies 45 retweets 37 likes
        1.  ❌ Lady Patriot  ❌ ❤️ 🇺🇸‏ @LuvMyAmerica Apr 9
          Replying to @ABC

          Zuckerberg should be in jail for privacy violations and election interference

          0 replies 0 retweets 0 likes
          Thanks. Twitter will use this to make your timeline better. Undo
          Undo
        1. glenda george‏ @sofiegeorge Apr 9
          Replying to @ABC

          there was no interference with Russia.Obama knew the Russians who started in 2014 same year Kerry got them visas to our country.They took money from them so they could place there ads that no one saw.This was to help Hillary

          0 replies 0 retweets 0 likes
          Thanks. Twitter will use this to make your timeline better. Undo
          Undo
        1. Isidoro Dreadful‏ @IsidoraDreadful Apr 9
          Replying to @ABC

          “Spotted” Russian interference? Hell, Facebook facilitated Russian interference. Facebook even imbedded its employees into Trump’s campaign to make sure Russia got its money’s worth. If Trump is guilty of treason (he is), then so is Zuck.

          0 replies 0 retweets 0 likes
          Thanks. Twitter will use this to make your timeline better. Undo
          Undo
        1. New conversation
        2. Sharon Q‏ @MoonOwl52 Apr 9
          Replying to @ABC

          There was no Russia interference on FB that influenced the election. It was the truth that caught up to crooked Hillary.@realDonaldTrump @TrumpQAnon #NWO #BohemianGrove #DeepStateInPanic @TrumpQAnon #ObamaGate #Canibalism #ClintonBodyCount #Qpic.twitter.com/xWA8y3iXhp

          1 reply 0 retweets 0 likes
        3. Wahhabi Lobby‏ @PeenerSweden Apr 9
          Replying to @MoonOwl52 @ABC and

          You seem normal

          0 replies 0 retweets 0 likes
        4. End of conversation
        1. Lil Ms. PJ‏ @JonesieJones1 Apr 9
          Replying to @ABC

          Yup! We have a Bozo 4 President when we need leadership because of FB

          0 replies 0 retweets 0 likes
          Thanks. Twitter will use this to make your timeline better. Undo
          Undo
        1. Toni Thomas‏ @Sam10211021 Apr 9
          Replying to @ABC

          It was there in 2012. Never changed a vote in 2016. I'm more worried about where my private data has been sold to. This twit is full of greed. Obama taught him well and allowed him to spy on all of us.

          0 replies 0 retweets 0 likes
          Thanks. Twitter will use this to make your timeline better. Undo
          Undo
        1. MatthewJshow‏ @MatthewJshow Apr 9
          Replying to @ABC

          Thought Facebook was all knowing?

          0 replies 0 retweets 0 likes
          Thanks. Twitter will use this to make your timeline better. Undo
          Undo
        1. Michele Snyder‏ @michelesnyderFL Apr 9
          Replying to @ABC

          Wonder how Mark will explain accepting BIG$ for Russian ads?....!!!!!

          0 replies 0 retweets 0 likes
          Thanks. Twitter will use this to make your timeline better. Undo
          Undo

      Loading seems to be taking a while.

      Twitter may be over capacity or experiencing a momentary hiccup. Try again or visit Twitter Status for more information.

        Promoted Tweet

        false

        • © 2018 Twitter
        • About
        • Help Center
        • Terms
        • Privacy policy
        • Cookies
        • Ads info